摘要:化工裝置中測量壓力、差壓、流量以及液位時經常會用到隔膜式變送器,變送器中增加隔膜密封件系統可有效避免電容傳感元件和被測流體直接接觸,提高變送器對被測流體的適應能力,但會對測量帶來影響,主要表現在系統精度和響應時間兩方面。詳細分析了隔膜膜片尺寸、剛度,毛細管長度、直徑以及填充液的性質對隔膜變送器測量產生的影響,探討了工程設計中應如何合理選擇這些參數,減少隔膜式變送器自身因素和環境因素帶來的誤差,從而使測量更精確。
隔膜式變送器是由壓力/差壓變送器、隔膜密封件、充灌液及直接安裝或毛細管形式的連接結構組成的。膜片密封件、充灌液及直接安裝或毛細管形式的連接結構稱為隔膜密封系統。隔膜式壓力變送器主要用于以下幾種場合:
1)被測量介質是腐蝕性、結晶性、黏稠性、易氣化、含懸浮物的液體。
2)過程介質可能會在變送器或引壓管路里凍結或固化。
3)過程溫度在變送器正常操作量程范圍之外,而且用引壓管路不能把溫度調整到溫度極限值以下。
4)過程液體非常危險,不能進入變送器所在的控制區域。
5)應用情況要求采用衛生的連接結構。
變送器檢測部件設置隔膜是為了避免電容傳感元件和被測流體直接接觸,使電容元件具有良好、穩定的工作條件,同時可以提高變送器對各種被測差壓流體的適應能力。但是增加隔膜密封系統會影響變送器總的系統性能,主要體現在對系統精度和響應時間的影響。
1 對系統精度的影響
采用隔膜式變送器對測量精度的影響主要包括兩個方面:隔膜至測量膜片的壓力損耗;環境溫度變化引起的零點漂移。其中隔膜至測量膜片的壓力損耗主要與環境溫度變化引起的零點漂移、毛細管內填充液的體積、填充液的熱膨脹系數以及隔膜膜片的性質有關。
1.1 隔膜至測量膜片的壓力損耗
隔膜變送器工作期間,當過程壓力作用時,膜片發生位移,被測壓力通過充液系統及毛細管管路,將過程壓力間接傳遞到變送器,這期間會造成隔膜至測量膜片的壓力損耗[3]。該損耗是指被測流體對檢測部件高壓側和低壓側隔膜分別作用以高壓力pH和低壓力pL時,測量膜片檢測到的差壓不等于pH -pL。
設這時高壓側和低壓側測量膜片受到的壓力分別為pH1和pL1,φs和φm分別是隔膜和測量膜片的剛度。測量膜片處的壓差可通過下式計算:
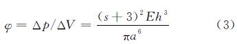
可見壓力損耗主要與隔膜和測量膜片的剛度有關,膜片的剛度φ 可通過下式計算:

式中:ΔV———膜片體積的變化量;E———膜片縱彈性系數;a———膜片直徑;h———膜片厚度;s———膜片位移。
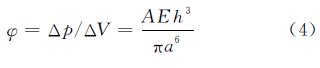
由于隔膜變送器工作時膜片的位移很小,可以認為不同材質、不同半徑的膜片位移相同,即(s+3)2 看作常數,記為A,所以式(3)可以等效為式(4)

從式(4)可以看出,要減小隔離膜片的剛度,就要選擇縱彈性系數小的膜片,增大膜片的直徑或者減小膜片的厚度。同樣材料和厚度的膜片,直徑越大彈性越好,剛度越小,即采用直徑越大的膜片,φs的值就越小,φm/φs值就越大,pH1 -pL1和pH-pL的值越接近,這時隔膜的壓力損耗變得越小。當φm遠大于φs時,pH1-pL1 ≈pHpL,被測差壓幾乎全部傳遞到測量膜片上。因此,設計時選擇較大直徑的隔膜有利于減小壓力損耗,提高變送器的測量精度。同種材質下,波紋膜片的縱彈性系數小于平膜片的縱彈性系數,通常隔離膜片都會選用波紋膜片。
1.2 環境溫度變化引起的零點漂移
1.2.1 填充液對測量的影響
填充液起到壓力傳遞的作用,但填充液的膨脹特性和體積會影響遠傳膜片密封系統的性能。所有填充液都隨溫度的變化產生膨脹與收縮,熱膨脹系數確定了該變化量。選擇膨脹系數較小的填充液有助于減小溫度變化帶來的誤差。填充液體積越大,其膨脹潛力也越大,因而選擇毛細管的長度要盡可能短,毛細管直徑要盡可能小,以減小填充液體積的方式來達到減小溫度誤差的目的。無論是用于差壓、流量還是液位測量,正負壓室密封系統的膜片規格、兩端毛細管長度、填充液應相同。環境溫度變化所引起的兩端毛細管充灌液膨脹量相同,應盡可能減少因環境溫度變化造成的測量誤差。25℃時常用填充液的特性見表1所列,環境溫度變化將會引起填充液密度和黏度的變化。

在測量液位或界面時,對于雙法蘭差壓變送器,雖然兩端毛細管的長度相同,可以克服環境溫度變化對膨脹量的影響,但不能克服上下2個取壓口之間毛細管靜壓的影響。這是因為環境溫度改變使得毛細管內填充液密度改變,從而引起這段毛細管產生的靜壓發生改變,導致變送器的實際遷移量發生改變,引起零點漂移。需要注意的是,當被測介質溫度較高,采用高溫硅油(如DC704)時,需要對毛細管實施伴熱,保證硅油的工作溫度。
在直徑為0.7mm、長度為305mm 的毛細管里,填充液隨溫度產生的膨脹如圖1所示。

選擇填充液時并不是單純選擇熱膨脹系數最低的,而是應綜合被測介質的特性、溫度以及填充液的特性,根據經濟適用原則,選擇能夠應用在實際工況下熱膨脹系數小的填充液。如DC704硅油,雖然熱膨脹系數較小,溫度上限較大但黏度較大,溫度下限值只有0℃,在冬季環境溫度低于0℃時還需要采取伴熱保溫措施,通常只在高溫介質情況下使用,非高溫介質情況下其實用性低于DC.200硅油。
1.2.2 膜片剛度對溫度性能的影響
當溫度變化使填充液膨脹與收縮時,膜片會承受一個反向的壓力,導致膜片承受的實際壓力和傳遞到檢測膜片壓力不一致,會引起測量誤差。剛度小的膜片在彈性范圍內的形變可以吸收充液使體積變化,能夠減小由溫度變化引起的填充液體積變化帶來的反向壓力,較大限度減小溫度變化引起的誤差。一般來說,直徑較小的膜片要比直徑較大的膜片剛度大,其剛性曲線斜率較小。斜率大的剛性曲線有助于最大限度減小填充液隨溫度變化膨脹或收縮時可發生的壓力誤差值[8]。填充液體積變化相同的情況下,對于同種材料的膜片,大直徑(剛度小)和小直徑(剛度大)對測量誤差的影響如圖2所示。

因此,填充液因溫度變化而引起體積變化時,剛度小的膜片產生的壓力測量誤差較小,而剛度大的膜片產生的壓力測量誤差較大。同時需要指出的是,通常情況下,φm/φs可達103 數量級,φm遠大于φs,被測壓力幾乎全部傳遞到測量膜片上,因而膜片剛度對溫度性能的影響要遠大于對測量精度的影響。
2 填充液對響應時間的影響
填充液的黏度及毛細管的長度、內徑均影響摩擦阻力,摩擦阻力越大響應時間越長。填充液黏度為其流動性能的量度,并與溫度有關,溫度越高,流動性能越高,選擇黏度較小的填充液將加快響應時間。毛細管內徑越小,則產生更強的節流,對壓力傳遞阻力越大,速度也越慢。毛細管內徑大能加快傳遞速度,縮短響應時間。毛細管越長,壓力信號傳輸距離就越長,增加了響應時間。
某變送器廠家隔膜密封件提供的三種規格為0.7mm,1.1mm,1.75mm,可以根據不同場合的需要來選用。
從綜合情況考慮,一般情況下,毛細管長度小于6m時可以選用直徑為0.7mm,6~10m 可以選擇直徑為1.1mm,大于10m 時應該選用直徑為1.75mm。
在大型容器與液位緩慢變化的應用場合,響應時間對測量的影響甚微,可以不受較長響應時間的影響。然而,如果是一個又小又窄的容器,若響應時間太長,容易發生測量滯后太大。另外,如測量流量等變化較快的工藝參數時,要求較快的響應時間,這時需要選擇長度較小和內徑較大的毛細管,以便達到較理想的測量效果。
3 結束語
在選用隔膜密封時需考慮許多因素,如何減小隔膜至測量膜片的壓力損耗,避免或減小溫度變化對隔膜密封壓力變送器的性能影響,并盡可能縮短儀表的響應時間,是正確合理選用隔膜密封壓力變送器的關鍵。選擇最合適的膜片密封件、毛細管與填充液可最大限度減小這些影響。綜上分析,當設計一個遠傳膜片系統時,應考慮以下方面。
1)選用較大直徑的膜片以最大限度減少壓力損耗和溫度的影響。
2)盡可能縮短毛細管長度以減小溫度對測量的影響,減少響應時間。
3)選擇內直徑較大的毛細管以縮短響應時間或選擇內直徑較小的毛細管來改善溫度性能。
4)盡量選擇黏度小、熱膨脹系數小而同時能滿足最極端的過程條件的填充液。選擇時需要考慮測量效果和經濟成本,根據現場實際情況選取:如果毛細管的長度較短,可以選擇大口徑或者小口徑的膜片;如果測量范圍較大,毛細管長度較長,則需要選擇大口徑的膜片,一方面是減少壓損,另一方面可以彌補部分毛細管長度太長引起的零點漂移。